Anvendt bioteknologi - figurer
Her finder du figurer til ANVENDT BIOTEKNOLOGI. Du kan læse mere om bogen her.
© Kopiering fra denne hjemmeside må kun finde sted på institutioner eller virksomheder der har indgået aftale med Copydan Tekst & Node og kun inden for de rammer der er nævnt i aftalen.
Figur 1
Teorier, modeller og eksperimentelle metoder.
Illustrator: Jette Overgaard
© Nucleus Forlag ApS • 978-87-93647-51-0
Figur 3
Eksempel på en kogebogsopskrift som er udført af mange andre.
Illustrator: Jette Overgaard og Lotte Thorup
© Nucleus Forlag ApS • 978-87-93647-51-0
Figur 4
Den hypotetisk deduktive metode.
Illustrator: Jette Overgaard
© Nucleus Forlag ApS • 978-87-93647-51-0
Figur 7
Princippet i et dobbeltblindet forsøg hos mennesker.
Illustrator: Jette Overgaard
© Nucleus Forlag ApS • 978-87-93647-51-0
Figur 8
Stregformel for levopoda og dopamin.
Illustrator: Hanne Wolff
© Nucleus Forlag ApS • 978-87-93647-51-0
Figur 9
Omdannelse af levopoda i blodet og i hjernen.
Illustrator: Hanne Wolff
© Nucleus Forlag ApS • 978-87-93647-51-0
Figur 13
Grønne grøntsager, magert kød, fisk og rejer indeholder B6-vitamin.
Illustrator: Hanne Wolff
© Nucleus Forlag ApS • 978-87-93647-51-0
Figur 14
Gulerødder indeholder β-caroten som er et forstadie til A-vitamin.
Illustrator: Hanne Wolff
© Nucleus Forlag ApS • 978-87-93647-51-0
Figur 16
Stregformel for ascorbinsyre.
Illustrator: Hanne Wolff
© Nucleus Forlag ApS • 978-87-93647-51-0
Figur 17
Spejlbilledisomere former af ascorbinsyre og isoascorbinsyre.
Illustrator: Hanne Wolff
© Nucleus Forlag ApS • 978-87-93647-51-0
Figur 18
Optagelse af ascorbat (A-) i tyndtarmen gennem transportproteinet SVCT.
Illustrator: Claus Lunau
© Nucleus Forlag ApS • 978-87-93647-51-0
Figur 19
Opbygningen af en kollagenfiber.
Illustrator: Claus Lunau
© Nucleus Forlag ApS • 978-87-93647-51-0
Figur 20
Bindevævet bliver ustabilt hvis der er mangel på ascorbinsyre.
Illustrator: Hanne Wolff
© Nucleus Forlag ApS • 978-87-93647-51-0
Figur 22
Ascorbinsyre anvendes om konserveringsmiddel i både fødevarer og kosmetik.
Illustrator: Hanne Wolff
© Nucleus Forlag ApS • 978-87-93647-51-0
Figur 24
Koncentrationer af ascorbinsyre i blodplasma.
Illustrator: Jette Overgaard
© Nucleus Forlag ApS • 978-87-93647-51-0
Figur 26
Batchkultur af Gluconobacter oxydans og Ketogulonicigenium vulgare.
Illustrator: Jette Overgaard
© Nucleus Forlag ApS • 978-87-93647-51-0
Figur 27b
Stregformel for sulforaphan.
Illustrator: Hanne Wolff
© Nucleus Forlag ApS • 978-87-93647-51-0
Figur 28
Genudtrykket er bl.a. bestemt af acetylering af histoner.
Illustrator: Claus Lunau
© Nucleus Forlag ApS • 978-87-93647-51-0
Figur 29
Tertiærstruktur af histondeacetylase.
Illustrator: Hanne Wolff
© Nucleus Forlag ApS • 978-87-93647-51-0
Figur 34
Lugtstoffer stimulerer receptorer på sensoriske celler, så lugten opfattes.
Illustrator: Jette Overgaard
© Nucleus Forlag ApS • 978-87-93647-51-0
Figur 35
Forbindelse fra det olfaktoriske system til det limbiske system.
Illustrator: Claus Lunau
© Nucleus Forlag ApS • 978-87-93647-51-0
Figur 36
På de sensoriske celler er der G-protein koblede receptorer.
Illustrator: Claus Lunau
© Nucleus Forlag ApS • 978-87-93647-51-0
Figur 37
Stregformel for 2-methylbuta-1,3-dien (isopren).
Illustrator: Hanne Wolff
© Nucleus Forlag ApS • 978-87-93647-51-0
Figur 38a
Strukturformel for 2-(5-ethenyl-5-methyloxalan-2-yl)propanal (syrenaldehyd).
Illustrator: Hanne Wolff
© Nucleus Forlag ApS • 978-87-93647-51-0
Figur 40a.
Strukturformel for menthol.
Illustrator: Hanne Wolff
© Nucleus Forlag ApS • 978-87-93647-51-0
Figur 41a
Strukturformel for D- og L-menthol.
Illustrator: Hanne Wolff
© Nucleus Forlag ApS • 978-87-93647-51-0
Figur 42
Mulige intermolekylære bindinger mellem L-menthol og aminosyresidekæder.
Illustrator: Hanne Wolff
© Nucleus Forlag ApS • 978-87-93647-51-0
Figur 43
3D-model af CMR-1 (også kaldet TRPM8-receptoren).
Illustrator: Hanne Wolff
© Nucleus Forlag ApS • 978-87-93647-51-0
Figur 46
Kemisk syntese af L-menthol ud fra 3-methylphenol.
Illustrator: Hanne Wolff
© Nucleus Forlag ApS • 978-87-93647-51-0
Figur 47
Kemisk syntese af L-menthol ud fra citral.
Illustrator: Hanne Wolff
© Nucleus Forlag ApS • 978-87-93647-51-0
Figur 48b
Stregformel for eugenol.
Illustrator: Hanne Wolff
© Nucleus Forlag ApS • 978-87-93647-51-0
Figur 50
Mulige intermolekylære bindinger mellem eugenol og aminosyrekæder.
Illustrator: Hanne Wolff
© Nucleus Forlag ApS • 978-87-93647-51-0
Figur 55
Øjet og et udsnit af nethinden.
Illustrator: Claus Lunau
© Nucleus Forlag ApS • 978-87-93647-51-0
Figur 56
Lysfølsomheden for de tre typer af tapceller i menneskeøjet.
Illustrator: Lotte Thorup
© Nucleus Forlag ApS • 978-87-93647-51-0
Figur 57
a. Hept-1,3,5-trien.
b. elektronerne i de tre dobbeltbindinger er delokaliserede.
Illustrator: Hanne Wolff
© Nucleus Forlag ApS • 978-87-93647-51-0
Figur 60
Stregformel for benzoesyre, kanelaldehyd og chalcon
Illustrator: Hanne Wolff
© Nucleus Forlag ApS • 978-87-93647-51-0
Figur 62
Stregformler for farvestofferne azorubin og tartrazin.
Illustrator: Hanne Wolff
© Nucleus Forlag ApS • 978-87-93647-51-0
Figur 63a
Stregformler for delphinidin ved forskellige pH-værdier.
Illustrator: Hanne Wolff
© Nucleus Forlag ApS • 978-87-93647-51-0
Figur 64
Stregformler for chlorofyl a og chlorofyl b.
Illustrator: Hanne Wolff
© Nucleus Forlag ApS • 978-87-93647-51-0
Figur 65a
Stregformel for β-caroten.
Illustrator: Hanne Wolff
© Nucleus Forlag ApS • 978-87-93647-51-0
Figur 66a
Stregformel for carminsyre.
Illustrator: Hanne Wolff
© Nucleus Forlag ApS • 978-87-93647-51-0
Figur 67a
Stregformel for astaxanthin.
Illustrator: Hanne Wolff
© Nucleus Forlag ApS • 978-87-93647-51-0
Figur 70
Stregformel for delphin (delphinidin-3,5-diglycosid).
Illustrator: Hanne Wolff
© Nucleus Forlag ApS • 978-87-93647-51-0
Figur 71
Plantecelle holdes sammen af midtlamellen.
Illustrator: Jette Overgaard
© Nucleus Forlag ApS • 978-87-93647-51-0
Figur 72
Delphinidin-3-(p-cumaroyl)-glucosid er et acyleret anthocyanin.
Illustrator: Hanne Wolff
© Nucleus Forlag ApS • 978-87-93647-51-0
Figur 74a
Stregformel for GFP-chromoforen.
Illustrator: Hanne Wolff
© Nucleus Forlag ApS • 978-87-93647-51-0
Figur 83
Stregformler for en række carboxylsyrer der kan anvendes som konserveringsmidler.
Illustrator: Hanne Wolff
© Nucleus Forlag ApS • 978-87-93647-51-0
Figur 84
Stregformler for konserveringsmidler der var med i en undersøgelse af forekomst af allergi.
Illustrator: Hanne Wolff
© Nucleus Forlag ApS • 978-87-93647-51-0
Figur 86
Diffusion af ethansyre gennem cellemembran.
Illustrator: Lotte Thorup
© Nucleus Forlag ApS • 978-87-93647-51-0
Figur 87
Ethansyrebakterie hvor ethanol oxideres til ethansyre.
Illustrator: Claus Lunua
© Nucleus Forlag ApS • 978-87-93647-51-0
Figur 88
Ethansyrebakterie danner og omsætter ethansyre.
Illustrator: Claus Lunau
© Nucleus Forlag ApS • 978-87-93647-51-0
Figur 89a
Generel stregformel for parabener.
Illustrator: Hanne Wolff
© Nucleus Forlag ApS • 978-87-93647-51-0
Figur 89b
Stregformler for forskellige parabener.
Illustrator: Hanne Wolff
© Nucleus Forlag ApS • 978-87-93647-51-0
Figur 92
Hæmningseffekt af forskellige konserveringsmidler.
Illustrator: Jette Overgaard
© Nucleus Forlag ApS • 978-87-93647-51-0
Figur 93
Koncentrationen af methylparaben i udvalgte fødevarer fra det amerikanske marked.
Illustrator: Hanne Wolff
© Nucleus Forlag ApS • 978-87-93647-51-0
Figur 94
Parabener og nedbrydningsproduktet 4-hydroxybenzoesyre kobles til sulfat og glucuronsyre.
Illustrator: Hanne Wolff
© Nucleus Forlag ApS • 978-87-93647-51-0
Figur 95
Stregformler for østradiol og butylparaben.
Illustrator: Hanne Wolff
© Nucleus Forlag ApS • 978-87-93647-51-0
Figur 99
Model af blod-hjerne-barrieren.
Illustrator: Jette Overgaard
© Nucleus Forlag ApS • 978-87-93647-51-0
Figur 100
Lægemidlet Acertorphan og det aktive stof thiorphan.
Illustrator: Hanne Wolff
© Nucleus Forlag ApS • 978-87-93647-51-0
Figur 102
Stregformel for iproniazid.
Illustrator: Hanne Wolff
© Nucleus Forlag ApS • 978-87-93647-51-0
Figur 103
Stregformel for serotonin.
Illustrator: Hanne Wolff
© Nucleus Forlag ApS • 978-87-93647-51-0
Figur 104
Områder i hjernen der forbindes af serotoninnervebaner.
Illustrator: Claus Lunau
© Nucleus Forlag ApS • 978-87-93647-51-0
Figur 105
Synapse med serotoninproducerende nervecelle.
Illustrator: Claus Lunau
© Nucleus Forlag ApS • 978-87-93647-51-0
Figur 106
Stregformel for imipramin.
Illustrator: Hanne Wolff
© Nucleus Forlag ApS • 978-87-93647-51-0
Figur 107b
Stregformel for paroxetin.
Illustrator: Hanne Wolff
© Nucleus Forlag ApS • 978-87-93647-51-0
Figur 108a
Binding af paroxetin til aminosyrekæder i serotonintransporteren.
Illustrator: Hanne Wolff
© Nucleus Forlag ApS • 978-87-93647-51-0
Figur 108b
Proteinstruktur for serotonintransporteren.
Illustrator: Hanne Wolff
© Nucleus Forlag ApS • 978-87-93647-51-0
Figur 109
Stregformel for dopamin.
Illustrator: Hanne Wolff
© Nucleus Forlag ApS • 978-87-93647-51-0
Figur 110
Områder i hjernen der forbindes af dopaminnervebaner.
Illustrator: Claus Lunau
© Nucleus Forlag ApS • 978-87-93647-51-0
Figur 111
Synapse med et dopaminproducerende neuron.
Illustrator: Claus Lunau
© Nucleus Forlag ApS • 978-87-93647-51-0
Figur 112
Stregformel for chlorpromazin.
Illustrator: Hanne Wolff
© Nucleus Forlag ApS • 978-87-93647-51-0
Figur 113
Stregformler for glutamat og GABA.
Illustrator: Hanne Wolff
© Nucleus Forlag ApS • 978-87-93647-51-0
Figur 114
Stregformel for eticloprid.
Illustrator: Hanne Wolff
© Nucleus Forlag ApS • 978-87-93647-51-0
Figur 115a
Eticloprid bundet til dopamin D2-receptoren.
Illustrator: Hanne Wolff
© Nucleus Forlag ApS • 978-87-93647-51-0
Figur 115b
Udsnit der viser eticloprid bundet til aminosyresidekæderne i dopamin D2-receptoren.
Illustrator: Hanne Wolff
© Nucleus Forlag ApS • 978-87-93647-51-0
Figur 118b
Stregformel for morfin.
Illustrator: Hanne Wolff
© Nucleus Forlag ApS • 978-87-93647-51-0
Figur 119b
Stregformel for cocain.
Illustrator: Hanne Wolff
© Nucleus Forlag ApS • 978-87-93647-51-0
Figur 120b
Stregformel for psilocybin
Illustrator: Hanne Wolff
© Nucleus Forlag ApS • 978-87-93647-51-0
Figur 121b
Stregformel for ecstasy
Illustrator: Hanne Wolff
© Nucleus Forlag ApS • 978-87-93647-51-0
Figur 122b
Stregformel for scopolamin.
Illustrator: Hanne Wolff
© Nucleus Forlag ApS • 978-87-93647-51-0
Figur 124
THC findes i fire stereoisomere former som er parvis enantiomerer og diastereomerer.
Illustrator: Hanne Wolff
© Nucleus Forlag ApS • 978-87-93647-51-0
Figur 125
3D-struktur af CB1R og CB2R.
Illustrator: Hanne Wolff
© Nucleus Forlag ApS • 978-87-93647-51-0
Figur 126
Fordeling af CB1R og CB2R i kroppen og deres funktion.
Illustrator: Jette Overgaard
© Nucleus Forlag ApS • 978-87-93647-51-0
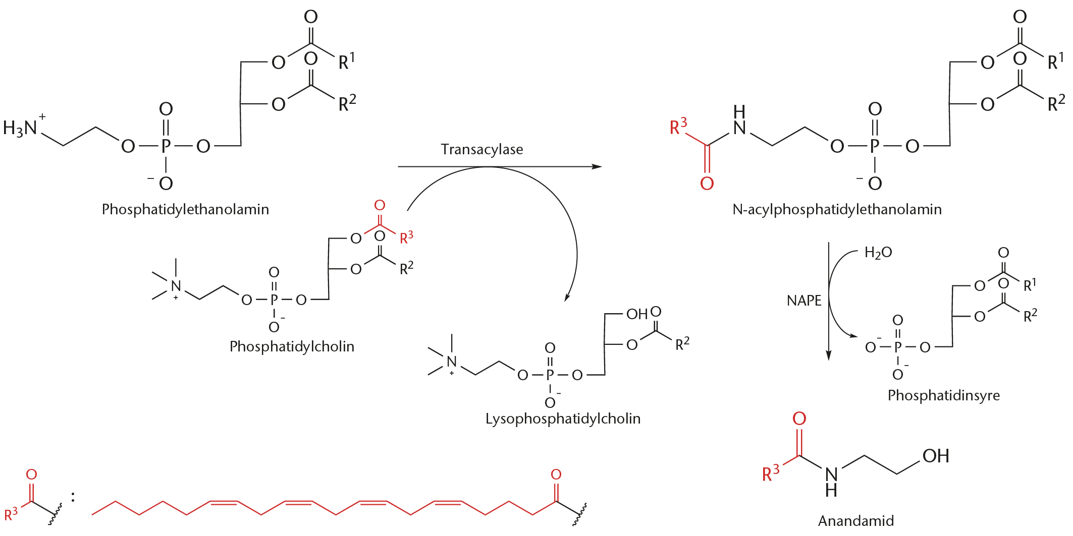
Figur 127
Stregformler for anandamid og 2-arachidonoylglycerol.
Illustrator: Hanne Wolff
© Nucleus Forlag ApS • 978-87-93647-51-0
Figur 129
CB1R hvor der i a. ikke er bundet en ligand og i b. er bundet en agonist.
Illustrator: Claus Lunau
© Nucleus Forlag ApS • 978-87-93647-51-0
Figur 130
Anandamids binding til CB1R formidsker udskillelsen af transmitterstoffer.
Illustrator: Claus Lunau
© Nucleus Forlag ApS • 978-87-93647-51-0
Figur 131
THC i bindingslommen på CB1R.
Illustrator: Hanne Wolff
© Nucleus Forlag ApS • 978-87-93647-51-0
Figur 132
Effekten af THC på produktionen af COX-2.
Illustrator: Claus Lunau
© Nucleus Forlag ApS • 978-87-93647-51-0
Figur 133
a. Synapse hvor transmitterstoffet glutamat bindes til receptorerne AMPA og NMDA.
b. Ved indtagelse af THC øges koncentrationen af prostaglandiner.
Illustrator: Claus Lunau
© Nucleus Forlag ApS • 978-87-93647-51-0
Figur 134
FABP1 transporterer THC hen til CYP450-2C-enzymet.
Illustrator: Claus Lunau
© Nucleus Forlag ApS • 978-87-93647-51-0
Figur 135
Stregformel for a.Dronabinol (THC) og b. Cesamet.
Illustrator: Hanne Wolff
© Nucleus Forlag ApS • 978-87-93647-51-0
Figur 136
Morris vandlabyrinttest.
Illustrator: Jette Overgaard
© Nucleus Forlag ApS • 978-87-93647-51-0
Figur 137b
Stregformel for nicotin.
Illustrator: Hanne Wolff
© Nucleus Forlag ApS • 978-87-93647-51-0
Figur 139a
Nicotin-acetylcholinreceptoren består af fem polypeptidkæder.
Illustrator: Claus Lunau
© Nucleus Forlag ApS • 978-87-93647-51-0
Figur 139b
Den ekstracelluære del af nAChR set oppefra.
Illustrator: Hanne Wolff
© Nucleus Forlag ApS • 978-87-93647-51-0
Figur 139c
Nicotin i bindingslommen på nAChR.
Illustrator: Hanne Wolff
© Nucleus Forlag ApS • 978-87-93647-51-0
Figur 141
a. Koncentrationen af nicotin gennem et døgn hos en ryger.
b. Koncentrationen af carboxyhæmoglobin gennem et døgn hos en ryger.
Illustrator: Jette Overgaard
© Nucleus Forlag ApS • 978-87-93647-51-0
Figur 143
Stregformler for buproprion og vareniclin.
Illustrator: Hanne Wolff
© Nucleus Forlag ApS • 978-87-93647-51-0




















































































































