I gang med kemi - figurer
Her finder du figurer fra I gang med kemi. Du kan læse mere om bogen her.
© Kopiering fra denne hjemmeside må kun finde sted på institutioner eller virksomheder der har indgået aftale med Copydan Tekst & Node og kun inden for de rammer der er nævnt i aftalen.
Figur 4
Exoterm og endoterm reaktion.
Illustrator: Lotte Thorup
© Nucleus Forlag ApS • ISBN 978-87-93647-25-1
Figur 6
Saftevand og salatdressinger er hhv. honogene og heterogene blandinger.
Illustrator: Lotte Thorup
© Nucleus Forlag ApS • ISBN 978-87-93647-25-1
Figur 8
Vands tre tilstandsformer på makroniveau.
Illustrator: Lotte Thorup
© Nucleus Forlag ApS • ISBN 978-87-93647-25-1
Figur 9
Overgange mellem forskellige tilstande for et stof.
Illustrator: Lotte Thorup
© Nucleus Forlag ApS • ISBN 978-87-93647-25-1
Figur 10
Smelte- og kogepunkter for udvalgte stoffer.
Illustrator: Lotte Thorup
© Nucleus Forlag ApS • ISBN 978-87-93647-25-1
Figur 12
Fotosyntese i en plante.
Illustrator: Lotte Thorup
© Nucleus Forlag ApS • ISBN 978-87-93647-25-1
Figur 14
Afstemt reaktionsskema for ethanols reaktion med dioxygen.
Illustrator: Hanne Wolff
© Nucleus Forlag ApS • ISBN 978-87-93647-25-1
Figur 16
En cellemembran er opbygget af fedtstof, der består af en hydrofob og en hydrofil del.
Illustrator: Lotte Thorup
© Nucleus Forlag ApS • ISBN 978-87-93647-25-1
Figur 19
En emulgator er et stof der har en hydrofil og en lipofil del.
Illustrator: Lotte Thorup
© Nucleus Forlag ApS • ISBN 978-87-93647-25-1
Figur 20
a. Olie-i-vand-emulsion - fx mayonnaise.
b. Vand-i-olie-emulsion - fx smør.
Illustrator: Lotte Thorup
© Nucleus Forlag ApS • ISBN 978-87-93647-25-1
Figur 21
Molekylmodeller af a. licithin og b. polysorbat.
I midten er vist en generel model for en emulgator.
Illustrator: Hanne Wolff
© Nucleus Forlag ApS • ISBN 978-87-93647-25-1
Figur 23
Oversigt og partiklernes ladninger og masser.
Illustrator: Lotte Thorup
© Nucleus Forlag ApS • ISBN 978-87-93647-25-1
Figur 24
Symbolrepræsentation af et grundstof.
Illustrator: Lotte Thorup
© Nucleus Forlag ApS • ISBN 978-87-93647-25-1
Figur 26
De tre isotoper af hydrogen.
Illustrator: Lotte Thorup
© Nucleus Forlag ApS • ISBN 978-87-93647-25-1
Figur 27
Forventet stigning i indhold i nitrogen- og carbon-isotoper op gennem en fødekæde.
Illustrator: Lotte Thorup
© Nucleus Forlag ApS • ISBN 978-87-93647-25-1
Figur 28
Masse og forekomst i naturen af forskellige isotoper af magnesium.
Illustrator: Lotte Thorup
© Nucleus Forlag ApS • ISBN 978-87-93647-25-1
Figur 29
a. Bohrs model for et hydrogenatrom.
b. Moderne kvantemekanisk model af et hydrogenatom.
Illustrator: Lotte Thorup
© Nucleus Forlag ApS • ISBN 978-87-93647-25-1
Figur 33
Elektronskaller med angivelse af antallet af elektroner der kan være i hver skal.
Illustrator: Lotte Thorup
© Nucleus Forlag ApS • ISBN 978-87-93647-25-1
Figur 34
Informationer om et grundstof i periodesystemet.
Illustrator: Lotte Thorup
© Nucleus Forlag ApS • ISBN 978-87-93647-25-1
Figur 35
De vigtigste grundstoffer i menneskekroppen.
Illustrator: Lotte Thorup
© Nucleus Forlag ApS • ISBN 978-87-93647-25-1
Figur 36
Forekomst af grundstoffer i et menneske.
Illustrator: Lotte Thorup
© Nucleus Forlag ApS • ISBN 978-87-93647-25-1
Figur 36
Forekomst af grundstoffer i et menneske.
Illustrator: Lotte Thorup
© Nucleus Forlag ApS • ISBN 978-87-93647-25-1
Figur 37
Fordeling af elektroner i skallerne for de første 20 grundstoffer.
Illustrator: Lotte Thorup
© Nucleus Forlag ApS • ISBN 978-87-93647-25-1
Figur 38
Et atoms radius stiger ned gennem en gruppe, men falder hen gennem en periode.
Illustrator: Lotte Thorup
© Nucleus Forlag ApS • ISBN 978-87-93647-25-1
Figur 39
Molekylmodeller af a. dioxygen og glucose og b. carbondioxid, vand og urea.
Illustrator: Hanne Wolff
© Nucleus Forlag ApS • ISBN 978-87-93647-25-1
Figur 43
Dannelse og nedbrydning af ozon.
a. UV-stråling med bølgelængder under 240 nm vil bryde bindingen i dioxygen.
b. UV-stråling med bølgelængder mellem 240 og 315 nm vil ødelægge bindingen i ozon.
Illustrator: Lotte Thorup
© Nucleus Forlag ApS • ISBN 978-87-93647-25-1
Figur 45
a. Eksempler på stoffer der nedbryder ozonlaget.
Illustrator: Lotte Thorup og Hanne Wolff
© Nucleus Forlag ApS • ISBN 978-87-93647-25-1
Figur 45
b. Molekylmodeller af CFC-11 og CFC-12.
Illustrator: Lotte Thorup og Hanne Wolff
© Nucleus Forlag ApS • ISBN 978-87-93647-25-1
Figur 47
Data for gennemsnitsareal af ozonhul og minimumstykkelse af ozonlag for den sydelige del af jordkloden.
Illustrator: Lotte Thorup
© Nucleus Forlag ApS • ISBN 978-87-93647-25-1
Figur 49
Molekyler og ædelgasser i atmosfæren.
Illustrator: Hanne Wolff
© Nucleus Forlag ApS • ISBN 978-87-93647-25-1
Figur 50
Udviklingen i atmosfærens indhold af CO2.
Illustrator: Lotte Thorup
© Nucleus Forlag ApS • ISBN 978-87-93647-25-1
Figur 51
Ikke-metaller og halvmetaller.
Illustrator: Lotte Thorup
© Nucleus Forlag ApS • ISBN 978-87-93647-25-1
Figur 53
a. Fælles elentronsky mellem to hydrogenatomer i et dihydrogenmolekyle.
b. Tiltrækning og frastødning mellem elektroner og kerner i et dihydrogenmolekyle.
Illustrator: Lotte Thorup
© Nucleus Forlag ApS • ISBN 978-87-93647-25-1
Figur 54
Modeller for dihydrogens elektronparbinding.
a. Elektronprikformel. Ringene viser at ædelgasreglen er opfyldt.
b. Strukturmodel.
c. Molekylmodel.
Illustrator: Hanne Wolff
© Nucleus Forlag ApS • ISBN 978-87-93647-25-1
Figur 56
Elektronprikformler for hovedgruppe grundstoffer i 2. og 3. periode af periodesystemet.
Illustrator: Lotte Thorup
© Nucleus Forlag ApS • ISBN 978-87-93647-25-1
Figur 57
Eksempler på dannelse af elektronparbindinger.
Illustrator: Lotte Thorup
© Nucleus Forlag ApS • ISBN 978-87-93647-25-1
Figur 58
Dioxygen og dinitrogen inderholder hhv. en dobbelt- og en tripelbinding.
Ethen indeholder en dobbeltbinding og har ikke nogle ledige elektronpar.
Illustrator: Lotte Thorup
© Nucleus Forlag ApS • ISBN 978-87-93647-25-1
Figur 59
Elektronprikformel og strukturformel for methan.
Illustrator: Lotte Thorup
© Nucleus Forlag ApS • ISBN 978-87-93647-25-1
Figur 60
Foreskellige repræsentationer af methan.
a. Molekylmodel med tetraederstruktur.
b. Strukturformel.
Illustrator: Lotte Thorup og Hanne Wolff
© Nucleus Forlag ApS • ISBN 978-87-93647-25-1
Figur 61
Forskellige repræsentationer af ammoniak.
a. Molekylmodel med form som en pyramide med trekantet grundflade.
b. Strukturformel.
Illustrator: Lotte Thorup og Hanne Wolff
© Nucleus Forlag ApS • ISBN 978-87-93647-25-1
Figur 62
Forskellige repræsentationer af vand.
a. Molekylmodel i en plan vinklet facon.
b. Strukturformel.
Illustrator: Lotte Thorup og Hanne Wolff
© Nucleus Forlag ApS • ISBN 978-87-93647-25-1
Figur 63
a. Carbondioxid har en lineær form.
b. Svovltrioxid har en plan form.
c. Carbondioxid og svovltrioxid er gasser der kan dannes ved forbrændingsprocesser.
d. Dinitrogen har en lineær form.
Illustrator: Lotte Thorup og Hanne Wolff
© Nucleus Forlag ApS • ISBN 978-87-93647-25-1
Figur 64
Præfikser der anvendes til at angive antallet af atomer i en kemisk forbindelse.
Illustrator: Lotte Thorup
© Nucleus Forlag ApS • ISBN 978-87-93647-25-1
Figur 65
Nogle molekylers navne.
Illustrator: Lotte Thorup
© Nucleus Forlag ApS • ISBN 978-87-93647-25-1
Figur 68
De vigtigste drivhusgasser.
Illustrator: Lotte Thorup
© Nucleus Forlag ApS • ISBN 978-87-93647-25-1
Figur 70
Udviklingen i indhold af menneskeskabte drivhusgasser i atmosfæren.
Illustrator: Lotte Thorup
© Nucleus Forlag ApS • ISBN 978-87-93647-25-1
Figur 71
Global effekt på udledning af drivhusgasser hvis befolkningen spiste mindre kød.
Illustrator: Lotte Thorup
© Nucleus Forlag ApS • ISBN 978-87-93647-25-1
Figur 73
Udvikling i produktion af elektricitet fra forskellige kilder.
Illustrator: Lotte Thorup
© Nucleus Forlag ApS • ISBN 978-87-93647-25-1
Figur 74
Elektronskyer for H2 og HCl.
Illustrator: Lotte Thorup
© Nucleus Forlag ApS • ISBN 978-87-93647-25-1
Figur 75
Grundstoffernes elektronegativitet.
Illustrator: Lotte Thorup
© Nucleus Forlag ApS • ISBN 978-87-93647-25-1
Figur 76
Forskel mellem upolær og polær elektronparbinding.
Illustrator: Lotte Thorup
© Nucleus Forlag ApS • ISBN 978-87-93647-25-1
Figur 77
Hydrogenchlorid.
Illustrator: Lotte Thorup og Hanne Wolff
© Nucleus Forlag ApS • ISBN 978-87-93647-25-1
Figur 78
Vand.
Illustrator: Lotte Thorup og Hanne Wolff
© Nucleus Forlag ApS • ISBN 978-87-93647-25-1
Figur 79
Carbondioxid.
Illustrator: Lotte Thorup og Hanne Wolff
© Nucleus Forlag ApS • ISBN 978-87-93647-25-1
Figur 80
Ammoniak.
Illustrator: Lotte Thorup og Hanne Wolff
© Nucleus Forlag ApS • ISBN 978-87-93647-25-1
Figur 81
Carbontetrafluorid.
Illustrator: Lotte Thorup og Hanne Wolff
© Nucleus Forlag ApS • ISBN 978-87-93647-25-1
Figur 82
Et ethanmolekyle.
Illustrator: Lotte Thorup og Hanne Wolff
© Nucleus Forlag ApS • ISBN 978-87-93647-25-1
Figur 83
Dipol-dipol-bindinger mellem molekyler af HCl.
Illustrator: Lotte Thorup og Hanne Wolff
© Nucleus Forlag ApS • ISBN 978-87-93647-25-1
Figur 84
I en opløsning af ammoniak i vand er der hydrogenbindinger mellem molekylerne.
a. Vist som strukturformler.
b. Vist som molekylmodeller.
Illustrator: Lotte Thorup og Hanne Wolff
© Nucleus Forlag ApS • ISBN 978-87-93647-25-1
Figur 85
London-kræfter der midlertidigt og kortvarigt opstår mellem to dihydrogenbindinger.
Illustrator: Lotte Thorup
© Nucleus Forlag ApS • ISBN 978-87-93647-25-1
Figur 86
Masse samt smelte- og kogepunkter i relation til bindingstype og udvalgte molekyler.
Illustrator: Lotte Thorup
© Nucleus Forlag ApS • ISBN 978-87-93647-25-1
Figur 87
Methans overfladeareal er større end både dioxygen og dinitrogens, og det har større indflydelse på smelte- og kogepunkter end massen, når alle molekyler er upolære
Illustrator: Lotte Thorup og Hanne Wolff
© Nucleus Forlag ApS • ISBN 978-87-93647-25-1
Figur 88
Et vandmolekyle kan på væskeform danne hydrogenbindinger med fire andre vandmolekyler.
a. Vist som strukturformler.
b. Vist som molekylmodeller.
Illustrator: Lotte Thorup og Hanne Wolff
© Nucleus Forlag ApS • ISBN 978-87-93647-25-1
Figur 89
Hydrogenbindinger i a. ammoniak og b. hydrogenfluorid.
Illustrator: Lotte Thorup og Hanne Wolff
© Nucleus Forlag ApS • ISBN 978-87-93647-25-1
Figur 93
Tværsnit af celle med dens organeller.
Illustrator: Lotte Thorup
© Nucleus Forlag ApS • ISBN 978-87-93647-25-1
Figur 94
Hydrofile og hydrofobe grupper.
Illustrator: Lotte Thorup
© Nucleus Forlag ApS • ISBN 978-87-93647-25-1
Figur 95
a. Molekylmodel af glucose.
b. Strukturformel af glucose som danner hydrogenbindinger til vand.
Illustrator: Lotte Thorup og Hanne Wolff
© Nucleus Forlag ApS • ISBN 978-87-93647-25-1
Figur 96
Transport af O2 i blodet sker hovedsagligt ved hjælp af hæmoglobin.
Illustrator: Lotte Thorup
© Nucleus Forlag ApS • ISBN 978-87-93647-25-1
Figur 97
a. Molekylmodel af et udsnit af DNA.
Illustrator: Lotte Thorup og Hanne Wolff
© Nucleus Forlag ApS • ISBN 978-87-93647-25-1
Figur 97
b. Detaljer af DNA´s opbygning.
Illustrator: Lotte Thorup og Hanne Wolff
© Nucleus Forlag ApS • ISBN 978-87-93647-25-1
Figur 98
a. Fire aminosyrer sat sammen ved hjælp af peptidbindinger.
Illustrator: Lotte Thorup
© Nucleus Forlag ApS • ISBN 978-87-93647-25-1
Figur 98
b. Kæden af aminosyrer danner et peptid der foldes til et protein.
Illustrator: Lotte Thorup og Hanne Wolff
© Nucleus Forlag ApS • ISBN 978-87-93647-25-1
Figur 99
Molekylmodel af hæmoglobin.
Illustrator: Lotte Thorup og Hanne Wolff
© Nucleus Forlag ApS • ISBN 978-87-93647-25-1
Figur 100
Phospholipider med to lange hydrofobe haler og et hydrofilt hoved.
Illustrator: Lotte Thorup
© Nucleus Forlag ApS • ISBN 978-87-93647-25-1
Figur 101
Cellemembran med phospolipider, proteiner og cholesterol.
Illustrator: Lotte Thorup
© Nucleus Forlag ApS • ISBN 978-87-93647-25-1
Figur 108
Eksempler på simple organiske forbindler fra karakteristiske klasser af organiske stoffer.
Illustrator: Lotte Thorup og Hanne Wolff
© Nucleus Forlag ApS • ISBN 978-87-93647-25-1
Figur 109
Oversigt over forskellige typer af carbonhydrider.
Illustrator: Lotte Thorup
© Nucleus Forlag ApS • ISBN 978-87-93647-25-1
Figur 110
Molekylmodeller af en alkan, en alken og en alkyn.
Illustrator: Lotte Thorup og Hanne Wolff
© Nucleus Forlag ApS • ISBN 978-87-93647-25-1
Figur 111
Molekylmodeller for carbonhydrider med flere carbonatomer.
Illustrator: Lotte Thorup og Hanne Wolff
© Nucleus Forlag ApS • ISBN 978-87-93647-25-1
Figur 112
Oversigt over repræsentationsformer for de fire simpleste alkaner.
Illustrator: Lotte Thorup og Hanne Wolff
© Nucleus Forlag ApS • ISBN 978-87-93647-25-1
Figur 113
Strukturformel og stregformel for alkanen butan.
Illustrator: Lotte Thorup og Hanne Wolff
© Nucleus Forlag ApS • ISBN 978-87-93647-25-1
Figur 114
Strukturformel og stregformel for strukturisomerer af C4H10.
Illustrator: Lotte Thorup Hanne Wolff
© Nucleus Forlag ApS • ISBN 978-87-93647-25-1
Figur 115
Oversigt over navne og formler for de første ti ligekædende alkaner.
Illustrator: Lotte Thorup og Hanne Wolff
© Nucleus Forlag ApS • ISBN 978-87-93647-25-1
Figur 116
Strukturformel og stregformel for 2-methylpentan.
Illustrator: Lotte Thorup og Hanne Wolff
© Nucleus Forlag ApS • ISBN 978-87-93647-25-1
Figur 117
Oversigt over navne på alkylgrupper.
Illustrator: Lotte Thorup
© Nucleus Forlag ApS • ISBN 978-87-93647-25-1
Figur 118
Eksempler på navngivning af to forgrenede alkaner.
Illustrator: Lotte Thorup
© Nucleus Forlag ApS • ISBN 978-87-93647-25-1
Figur 119
Navngivning af organiske molekyler.
Illustrator: Lotte Thorup
© Nucleus Forlag ApS • ISBN 978-87-93647-25-1
Figur 120
b. Molekylmodel af ethen.
Illustrator: Hanne Wolff
© Nucleus Forlag ApS • ISBN 978-87-93647-25-1
Figur 121
Eksempler på alkener og alkyner og deres navngivning.
Illustrator: Lotte Thorup og Hanne Wolff
© Nucleus Forlag ApS • ISBN 978-87-93647-25-1
Figur 122
Nogle oxygenholdige organiske forbindelser og deres navne.
a. Alkoholer.
b. Aldehyder.
c. Ketoner.
Illustrator: Lotte Thorup og Hanne Wolff
© Nucleus Forlag ApS • ISBN 978-87-93647-25-1
Figur 123
a. Strukturformler for ligekædede alkoholer.
Illustrator: Lotte Thorup
© Nucleus Forlag ApS • ISBN 978-87-93647-25-1
Figur 123
b. Kogepunkter for ligekædede alkoholer og alkaner.
Illustrator: Lotte Thorup
© Nucleus Forlag ApS • ISBN 978-87-93647-25-1
Figur 124
Hydrogenbindinger mellem ethanolmolekyler.
Illustrator: Hanne Wolff
© Nucleus Forlag ApS • ISBN 978-87-93647-25-1
Figur 125
Kontaktfladen og muligheden for at danne midlertidige dipoler stiger jo større masse alkanerne har.
Illustrator: Lotte Thorup og Hanne Wolff
© Nucleus Forlag ApS • ISBN 978-87-93647-25-1
Figur 126
Sammenligning af fysiske egenskaber for nogle organiske forbindelser.
Illustrator: Lotte Thorup
© Nucleus Forlag ApS • ISBN 978-87-93647-25-1
Figur 127
Dipol-dipol-binding mellem C=O-grupper i aldehyder eller ketoner.
Illustrator: Lotte Thorup
© Nucleus Forlag ApS • ISBN 978-87-93647-25-1
Figur 128
Opløselighed af ligekædede alkoholer i vand.
Illustrator: Lotte Thorup
© Nucleus Forlag ApS • ISBN 978-87-93647-25-1
Figur 129
Hydrogenbinding mellem hydrogenatom i vandmolekyle og C=O-gruppe i aldehyd eller keton.
Illustrator: Lotte Thorup
© Nucleus Forlag ApS • ISBN 978-87-93647-25-1
Figur 130
Citrals systematiske navn er 3,7-dimethyl-2,6-octadienal.
Illustrator: Lotte Thorup
© Nucleus Forlag ApS • ISBN 978-87-93647-25-1
Figur 131
Sundhedsskadelige stoffer der dannes i forbindelse med forbrændingsprocesser.
Illustrator: Lotte Thorup
© Nucleus Forlag ApS • ISBN 978-87-93647-25-1
Figur 134
Faremærkning af ethanol.
Illustrator: Lotte Thorup
© Nucleus Forlag ApS • ISBN 978-87-93647-25-1
Figur 135
Strukturformler for glucose, sucrose, stivelse og cellulose.
Illustrator: Hanne Wolff
© Nucleus Forlag ApS • ISBN 978-87-93647-25-1
Figur 136
Bioethanol er et CO2-neutralt brændstof.
Illustrator: Lotte Thorup
© Nucleus Forlag ApS • ISBN 978-87-93647-25-1
Figur 137
Tre typer af biomasse som kan omdannes til bioethanol.
Illustrator: Lotte Thorup
© Nucleus Forlag ApS • ISBN 978-87-93647-25-1
Figur 138
Sammensætning af biogas.
Illustrator: Lotte Thorup
© Nucleus Forlag ApS • ISBN 978-87-93647-25-1
Figur 140
Molekylmodel af methanol.
Illustrator: Hanne Wolff
© Nucleus Forlag ApS • ISBN 978-87-93647-25-1
Figur 141
a. Oversigt over produktion af biomethanol.
Illustrator: Lotte Thorup
© Nucleus Forlag ApS • ISBN 978-87-93647-25-1
Figur 141
b. Produktion af vedvarende methanol.
Illustrator: Lotte Thorup
© Nucleus Forlag ApS • ISBN 978-87-93647-25-1
Figur 142
Biodiesel fra planteolier udleder mere CO2 end fossilt diesel.
Illustrator: Lotte Thorup
© Nucleus Forlag ApS • ISBN 978-87-93647-25-1
Figur 143
Sammensætning af organiske forbindelser i HTL-olier minder om sammensætningen i almindelig råolie.
Illustrator: Lotte Thorup
© Nucleus Forlag ApS • ISBN 978-87-93647-25-1
Figur 146
1 mol af forskellige grundstoffer og kemiske forbindelser.
Illustrator: Lotte Thorup
© Nucleus Forlag ApS • ISBN 978-87-93647-25-1
Figur 147
Sammenhængen mellem stofmængde og masse.
Illustrator: Lotte Thorup
© Nucleus Forlag ApS • ISBN 978-87-93647-25-1
Figur 148
Sammenhængen mellem masse, stofmængde og molarmasse.
Illustrator: Lotte Thorup
© Nucleus Forlag ApS • ISBN 978-87-93647-25-1
Figur 150
Beregningsskema for gæringsreaktion.
Illustrator: Lotte Thorup
© Nucleus Forlag ApS • ISBN 978-87-93647-25-1
Figur 151
Sammenhæng mellem densitet, masse og volumen.
Illustrator: Lotte Thorup
© Nucleus Forlag ApS • ISBN 978-87-93647-25-1
Figur 159
Na+/K+-pumpen bruger energi til at pumpe kalium-ioner ind og natrium-ioner ud af cellerne.
Illustrator: Lotte Thorup
© Nucleus Forlag ApS • ISBN 978-87-93647-25-1
Figur 162
Natrium kan afgive en elektron og omdannes til en ion.
Illustrator: Lotte Thorup
© Nucleus Forlag ApS • ISBN 978-87-93647-25-1
Figur 161
Nogle almindeligt forekommende ioner.
Illustrator: Lotte Thorup
© Nucleus Forlag ApS • ISBN 978-87-93647-25-1
Figur 163
Ioner som nogle af grundstofferne danner.
Illustrator: Lotte Thorup
© Nucleus Forlag ApS • ISBN 978-87-93647-25-1
Figur 164
Natrium afgiver en elektron til chlor.
Illustrator: Lotte Thorup
© Nucleus Forlag ApS • ISBN 978-87-93647-25-1
Figur 165
Ionbinding mellem natrium og chlor.
Illustrator: Lotte Thorup
© Nucleus Forlag ApS • ISBN 978-87-93647-25-1
Figur 166
a. Krystalstruktur af NaCl vist på mikro- og makroniveau.
Illustrator: Lotte Thorup
© Nucleus Forlag ApS • ISBN 978-87-93647-25-1
Figur 166
b. Krystalstruktur af CaCO3 vist på mikro- og makroniveau.
Illustrator: Lotte Thorup
© Nucleus Forlag ApS • ISBN 978-87-93647-25-1
Figur 167
Smelte- og kogepunkter for nogle ionforbindelser.
Illustrator: Lotte Thorup
© Nucleus Forlag ApS • ISBN 978-87-93647-25-1
Figur 168
Sammenligning af radius for et atom og dets tilsvarende ion.
Illustrator: Lotte Thorup
© Nucleus Forlag ApS • ISBN 978-87-93647-25-1
Figur 169
Ioniseringsenergi for grundstoffer i de tre første perioder i periodesystemet.
Illustrator: Lotte Thorup
© Nucleus Forlag ApS • ISBN 978-87-93647-25-1
Figur 170
Elektronaffinitet for grundstoffer i de tre første perioder af periodesystemet.
Illustrator: Lotte Thorup
© Nucleus Forlag ApS • ISBN 978-87-93647-25-1
Figur 171
I en ionbinding er ∆EN > 2,0, hvilket betyder at det ene atom har afgivet én eller flere elektroner til det andet atom i en binding.
Illustrator: Lotte Thorup
© Nucleus Forlag ApS • ISBN 978-87-93647-25-1
Figur 172
Nogle enatomige ioner og deres navne.
Illustrator: Lotte Thorup
© Nucleus Forlag ApS • ISBN 978-87-93647-25-1
Figur 173
Nogle fleratomige ioner og deres navne.
Illustrator: Lotte Thorup
© Nucleus Forlag ApS • ISBN 978-87-93647-25-1
Figur 174
Formelenheder og ioner for de tre ionforbindelser Na2O, NaNO3 og Ca(H2PO4)2.
Illustrator: Lotte Thorup
© Nucleus Forlag ApS • ISBN 978-87-93647-25-1
Figur 176
Nogle ionforbindelser og deres formelenheder, ioner og navne.
Illustrator: Lotte Thorup
© Nucleus Forlag ApS • ISBN 978-87-93647-25-1
Figur 177
Koncentration af opløste salte i Nordsøen.
Illustrator: Lotte Thorup
© Nucleus Forlag ApS • ISBN 978-87-93647-25-1
Figur 179
Opløsning af krystal i natriumchlorid i vand vist på makro- og mikroniveau.
Illustrator: Lotte Thorup
© Nucleus Forlag ApS • ISBN 978-87-93647-25-1
Figur 180
Fremstilling af opløsning af NaCl.
Illustrator: Lotte Thorup
© Nucleus Forlag ApS • ISBN 978-87-93647-25-1
Figur 181
Sammenhæng mellem formel stofmængdekoncentration, stofmængde og volumen.
Illustrator: Lotte Thorup
© Nucleus Forlag ApS • ISBN 978-87-93647-25-1
Figur 182
Reaktionsforholdet mellem natrium-ioner og sulfat er 2:1 når natriumsulfat opløses.
Illustrator: Lotte Thorup
© Nucleus Forlag ApS • ISBN 978-87-93647-25-1
Figur 183
Fremstilling af en opløsning af cobalt(2+)chlorid-vand(1/2).
Illustrator: Lotte Thorup
© Nucleus Forlag ApS • ISBN 978-87-93647-25-1
Figur 185
Partikler herunder ioner og molekyler vil naturligt bevæge sig fra høj mod lav koncentration, dvs. med en koncentrationsgradient.
Illustrator: Lotte Thorup
© Nucleus Forlag ApS • ISBN 978-87-93647-25-1
Figur 187
Sammenligning af diffusionshastighedens afhængighed af koncentrationsgradienten for simpel og faciliteret diffusion.
Illustrator: Lotte Thorup
© Nucleus Forlag ApS • ISBN 978-87-93647-25-1
Figur 188
Aktiv transport foregår mod en koncentrationsgradient og kræver energi.
Illustrator: Lotte Thorup
© Nucleus Forlag ApS • ISBN 978-87-93647-25-1
Figur 189
Koncentration af nogle ioner i celler og i blodet.
Illustrator: Lotte Thorup
© Nucleus Forlag ApS • ISBN 978-87-93647-25-1
Figur 190
Natrium-kalium-pumpens funktion.
Illustrator: Lotte Thorup
© Nucleus Forlag ApS • ISBN 978-87-93647-25-1
Figur 191
Vandmolekyler passerer en cellemembran gennem aquaporiner.
Illustrator: Lotte Thorup
© Nucleus Forlag ApS • ISBN 978-87-93647-25-1
Figur 192
Osmose er diffusion af vand gennem aquaporiner.
Illustrator: Lotte Thorup
© Nucleus Forlag ApS • ISBN 978-87-93647-25-1
Figur 193
Illustration af osmotisk tryk.
Illustrator: Lotte Thorup
© Nucleus Forlag ApS • ISBN 978-87-93647-25-1
Figur 195
Røde blodceller anbragt i hhv. en hypotonisk, isotonisk og hypertonisk opløsning.
Illustrator: Lotte Thorup
© Nucleus Forlag ApS • ISBN 978-87-93647-25-1
Figur 196
Plantecelle i hhv. hypotonisk, isotonisk og hypertonisk opløsning.
Illustrator: Lotte Thorup
© Nucleus Forlag ApS • ISBN 978-87-93647-25-1
Figur 197
Opløselighed af nogle salte som funktion af temperaturen.
Illustrator: Lotte Thorup
© Nucleus Forlag ApS • ISBN 978-87-93647-25-1
Figur 198
Inddeling af ionforbindelsers opløselighed.
Illustrator: Lotte Thorup
© Nucleus Forlag ApS • ISBN 978-87-93647-25-1
Figur 200
Opløselighedstabel for nogle ionforbindelser.
Illustrator: Lotte Thorup
© Nucleus Forlag ApS • ISBN 978-87-93647-25-1
Figur 201
Umættet og mættet opløsning af NaCl.
Illustrator: Lotte Thorup
© Nucleus Forlag ApS • ISBN 978-87-93647-25-1
Figur 202
b. Calciumcarbonats opløselighed som funktion af temperatur.
Illustrator: Lotte Thorup
© Nucleus Forlag ApS • ISBN 978-87-93647-25-1
Figur 204
a. Traditionel opstilling til titrering i gymnasiet.
Illustrator: Lotte Thorup
© Nucleus Forlag ApS • ISBN 978-87-93647-25-1
Figur 207
Det typiske indhold af essentielle næringsstoffer i en plantecelle.
Illustrator: Lotte Thorup
© Nucleus Forlag ApS • ISBN 978-87-93647-25-1
Figur 208
Negativt ladet jordpartikel vil tiltrække positvit ladede ioner og frastøde negativt ladede ioner.
Illustrator: Lotte Thorup
© Nucleus Forlag ApS • ISBN 978-87-93647-25-1
Figur 210
Ionbytning i jorden.
Illustrator: Lotte Thorup
© Nucleus Forlag ApS • ISBN 978-87-93647-25-1
Figur 213
Der er ligefrem proportionalitet mellem intensitet af farvestof og koncentration af nitrat i en vandprøve.
Illustrator: Lotte Thorup
© Nucleus Forlag ApS • ISBN 978-87-93647-25-1
Figur 215
Fortynding.
a. Et veldefineret volumen fra en opløsning med en kendt koncentration udtages.
b. Det overføres til en målekolbe med en veldefineret volumen.
c. Det fortyndes med vand til målekolbens markeringsstreg.
Illustrator: Lotte Thorup
© Nucleus Forlag ApS • ISBN 978-87-93647-25-1
Figur 217
Strukturformel for citronsyre og æblesyre.
Illustrator: Lotte Thorup og Hanne Wolff
© Nucleus Forlag ApS • ISBN 978-87-93647-25-1
Figur 218
a. Kaffe smager bittert på grund af dets indhold af basen coffein.
b. Strukturformel for coffein.
Illustrator: Lotte Thorup og Hanne Wolff
© Nucleus Forlag ApS • ISBN 978-87-93647-25-1
Figur 220
I carbonsyre er der ikke elektronparbindinger mellem carbon og hydrogen.
Illustrator: Hanne Wolff
© Nucleus Forlag ApS • ISBN 978-87-93647-25-1
Figur 221
Reaktion mellem hydrogenchlorid og vand vist med elektronprikformler og molekylemodeller.
Illustrator: Lotte Thorup
© Nucleus Forlag ApS • ISBN 978-87-93647-25-1
Figur 222
Den funktionelle gruppe for en carboxylsyre.
Illustrator: Lotte Thorup
© Nucleus Forlag ApS • ISBN 978-87-93647-25-1
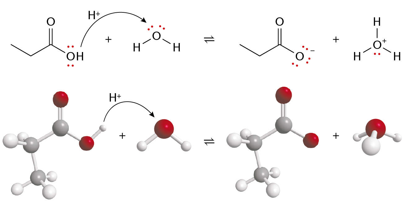
Figur 223
Reaktion mellem propansyre og vand vist med struktur- og elektronprikformler samt med molekylmodeller.
Illustrator: Lotte Thorup og Hanne Wolff
© Nucleus Forlag ApS • ISBN 978-87-93647-25-1
Figur 224
Emmentalerost får sine store huller pga. gæringsprocesser hvor bl.a. propansyre omdannes.
Illustrator: Lotte Thorup
© Nucleus Forlag ApS • ISBN 978-87-93647-25-1
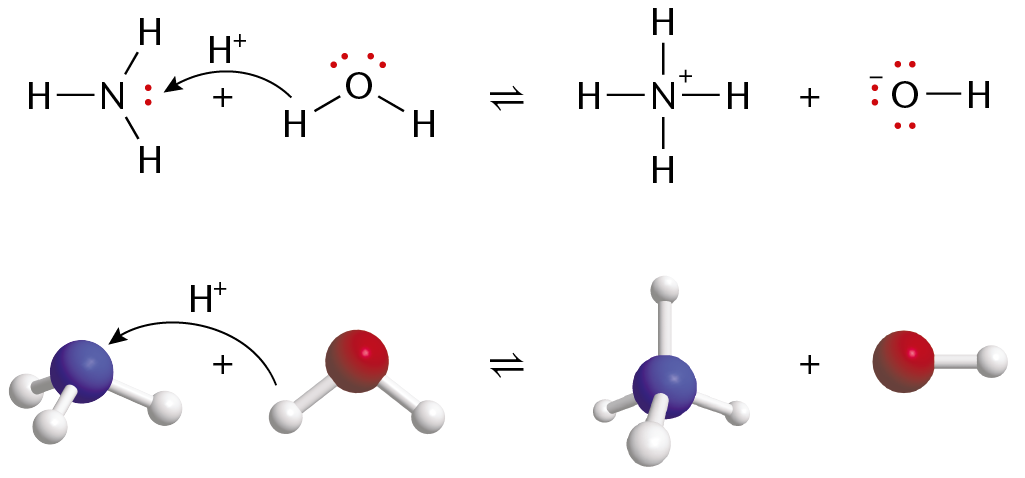
Figur 225
Ammoniaks reaktion med vand.
Illustrator: Lotte Thorup
© Nucleus Forlag ApS • ISBN 978-87-93647-25-1
Figur 226
Saltsyre er en væsentlig del af mavesaft.
Illustrator: Lotte Thorup
© Nucleus Forlag ApS • ISBN 978-87-93647-25-1
Figur 227
Sammenligning af forholdene i en opløsning af a. en stærk syre og b. en ikke-stærk syre.
Illustrator: Lotte Thorup
© Nucleus Forlag ApS • ISBN 978-87-93647-25-1
Figur 228
Korresponderende syre-base-par.
Illustrator: Lotte Thorup
© Nucleus Forlag ApS • ISBN 978-87-93647-25-1
Figur 229
Vands selvionisering.
Illustrator: Lotte Thorup
© Nucleus Forlag ApS • ISBN 978-87-93647-25-1
Figur 230
Produktet af de aktuelle stofmængdekoncentrationer af hydroxid og oxonium er altid konstant.
Illustrator: Lotte Thorup
© Nucleus Forlag ApS • ISBN 978-87-93647-25-1
Figur 231
Sammenhæng mellem pH og koncentration af oxonium og hydroxid.
Illustrator: Lotte Thorup
© Nucleus Forlag ApS • ISBN 978-87-93647-25-1
Figur 232
pH-værdier i forskellige opløsninger.
Illustrator: Lotte Thorup
© Nucleus Forlag ApS • ISBN 978-87-93647-25-1
Figur 234
Syre-base-indikatorer og deres omslagsområde.
Illustrator: Lotte Thorup
© Nucleus Forlag ApS • ISBN 978-87-93647-25-1
Figur 235
Syre-base-indikatoren bromthymolblåt ved forskellige pH-værdier.
Illustrator: Lotte Thorup
© Nucleus Forlag ApS • ISBN 978-87-93647-25-1
Figur 237
Ekstrakt fra rødkål kan anvendes som universalindikator.
Illustrator: Lotte Thorup
© Nucleus Forlag ApS • ISBN 978-87-93647-25-1
Figur 239
a. Sammenblanding af ækvivalente mængder af saltsyre og natriumhydroxid.
b. Efter reaktion findes en opløsning af natriumchlorid.
Illustrator: Lotte Thorup
© Nucleus Forlag ApS • ISBN 978-87-93647-25-1
Figur 241
Titreringskurve for en stærk base (NaOH/KOH) med stærk syre (HCl).
Illustrator: Lotte Thorup
© Nucleus Forlag ApS • ISBN 978-87-93647-25-1
Figur 243
Påvirkning af syre-base-ligevægt ved tilsætning af stærk syre eller base.
Illustrator: Lotte Thorup
© Nucleus Forlag ApS • ISBN 978-87-93647-25-1
Figur 245
a. Strukturformel og molkylmodel for urinstof.
Illustrator: Lotte Thorup
© Nucleus Forlag ApS • ISBN 978-87-93647-25-1
Figur 248
Opløseligheden af carbondioxid som funktion af temperaturen.
Illustrator: Lotte Thorup
© Nucleus Forlag ApS • ISBN 978-87-93647-25-1
Figur 250
Opløst CO2 a. under normale tryk- og temperaturforhold, b. ved lav temperatur og c. under højt tryk.
Illustrator: Lotte Thorup
© Nucleus Forlag ApS • ISBN 978-87-93647-25-1
Figur 254
a. Strukturformler for et signalmolekyle ved forskellige pH-værdier.
b. Molekylmodeller for et signalmolekyle med forskellige pH-værdier.
Illustrator: Lotte Thorup og Hanne Wolff
© Nucleus Forlag ApS • ISBN 978-87-93647-25-1
Figur 255
a. Strukturformel for citronsyre.
b. Citronsyre er den vigtigste syre i citrusfrugter og ananas, jordbær, hindbær og stikkelsbær.
Illustrator: Lotte Thorup og Hanne Wolff
© Nucleus Forlag ApS • ISBN 978-87-93647-25-1
Figur 256
a. Strukturformel for æblesyre.
b. Æblesyre er den vigtigste syre i æbler og stenfrugter som kirsebær, abrikos og fersken.
Illustrator: Lotte Thorup og Hanne Wolff
© Nucleus Forlag ApS • ISBN 978-87-93647-25-1
Figur 257
a. Strukturformel for vinsyre.
b. Vinsyre findes i vindruer og avocado
Illustrator: Lotte Thorup og Hanne Wolff
© Nucleus Forlag ApS • ISBN 978-87-93647-25-1
Figur 258
Andre organiske syrer i frugt.
Illustrator: Lotte Thorup og Hanne Wolff
© Nucleus Forlag ApS • ISBN 978-87-93647-25-1
Figur 259
Titrerkurve for citronsyre med natriumhydroxid.
Illustrator: Lotte Thorup
© Nucleus Forlag ApS • ISBN 978-87-93647-25-1
Figur 260
a. Strukturformel for benzoesyre.
b.Tyttebær og tranebær indeholder benzoesyre.
Illustrator: Lotte Thorup og Hanne Wolff
© Nucleus Forlag ApS • ISBN 978-87-93647-25-1
Figur 266
a. Magnesium reagerer med dioxygen og danner magnesiumoxid.
b. Magnesium afgiver to elektroner til oxygen og oxideres til en magnesium-ion. Oxygen modtager to elektroner og reduceres til oxid.
Illustrator: Lotte Thorup
© Nucleus Forlag ApS • ISBN 978-87-93647-25-1
Figur 268
En kobbertråd kan forsølves ved en redoxreaktion mellem sølv-ioner og kobber.
Illustrator: Lotte Thorup
© Nucleus Forlag ApS • ISBN 978-87-93647-25-1
Figur 274
Elektrondonor og elektronacceptor.
Illustrator: Lotte Thorup
© Nucleus Forlag ApS • ISBN 978-87-93647-25-1
Figur 275
Eksempler på grundstoffer og deres oxidationstal som er 0.
Illustrator: Lotte Thorup og Hanne Wolff
© Nucleus Forlag ApS • ISBN 978-87-93647-25-1
Figur 276
Eksempler på enatomige ioner og deres oxidationstal der følger ionens ladning.
Illustrator: Lotte Thorup
© Nucleus Forlag ApS • ISBN 978-87-93647-25-1
Figur 278
Eksempler på molekyler og deres oxidationstal.
Illustrator: Lotte Thorup og Hanne Wolff
© Nucleus Forlag ApS • ISBN 978-87-93647-25-1
Figur 279
Eksempler på fleratomige ioner og deres oxidationstal.
Illustrator: Lotte Thorup og Hanne Wolff
© Nucleus Forlag ApS • ISBN 978-87-93647-25-1
Figur 280
Udstødningsgas fra bil indeholder bl.a. carbondioxid og vand, men kan også indeholde skadelige gasser.
Illustrator: Lotte Thorup
© Nucleus Forlag ApS • ISBN 978-87-93647-25-1
Figur 282
Strukturformel for methanol.
Illustrator: Lotte Thorup Hanne Wolff
© Nucleus Forlag ApS • ISBN 978-87-93647-25-1
Figur 283
Strukturformel for ethanol.
Illustrator: Lotte Thorup og Hanne Wolff
© Nucleus Forlag ApS • ISBN 978-87-93647-25-1
Figur 284
Ethanolholdige drinks.
Illustrator: Lotte Thorup
© Nucleus Forlag ApS • ISBN 978-87-93647-25-1
Figur 285
Strukturformler for ehtanol og ethanal.
Illustrator: Lotte Thorup og Hanne Wolff
© Nucleus Forlag ApS • ISBN 978-87-93647-25-1
Figur 287
Afstemning af redoxreaktioner i vandige miljøer foregår i fem trin, som danner et samlet hele.
Illustrator: Lotte Thorup
© Nucleus Forlag ApS • ISBN 978-87-93647-25-1
Figur 293
Ascobinsyre i sin reducerede og oxiderede form.
Illustrator: Lotte Thorup og Hanne Wolff
© Nucleus Forlag ApS • ISBN 978-87-93647-25-1
Figur 294
Dannelse af ustabile mellemprodukter ved reduktion af dioxygen til vand.
Illustrator: Lotte Thorup
© Nucleus Forlag ApS • ISBN 978-87-93647-25-1
Figur 295
Uskadeliggørelse af fedtstof-radikaler.
Illustrator: Lotte Thorup og Hanne Wolff
© Nucleus Forlag ApS • ISBN 978-87-93647-25-1
Figur 298
a. Frugter der indeholder carotenoider.
b. Kemisk struktur af carotenoiderne β-caroten og lycopen.
Illustrator: Lotte Thorup
© Nucleus Forlag ApS • ISBN 978-87-93647-25-1
Figur 299
Anthocyaniners farve afhænger bl.a. af pH.
Illustrator: Lotte Thorup og Hanne Wolff
© Nucleus Forlag ApS • ISBN 978-87-93647-25-1
Figur 301
DCPIP i oxideret og reduceret form.
Illustrator: Lotte Thorup
© Nucleus Forlag ApS • ISBN 978-87-93647-25-1






























































































































































































































