NV-hæfter
Læs mere om bøgerne her: Faktisk • Bioemballage • Vækstlys • Varme • Chili • Insekter som mad
© Kopiering fra denne hjemmeside må kun finde sted på institutioner eller virksomheder der har indgået aftale med Copydan Tekst & Node og kun inden for de rammer der er nævnt i aftalen.
Figur 1
Undersøgelse til måling af hvilestoftskifte:
a. Opstillingsskitse.
b. Data.
© Nucleus Forlag ApS • Illustrator: Elin Steffensen, Griffle
Figur 2
Eksempler på databehandling:
a. Udregning af hvileeffekt ud fra temperaturstigning vha. en formel.
b. Bestemmelse af hvileeffekt på en standardkurve ud fra temperaturstigning.
c. Oversættelse af indikatorfarve.
d. Procentregning.
© Nucleus Forlag ApS • Illustrator: Elin Steffensen, Griffle
Figur 4
Kvalitative og kvantitative størrelser på dele af dagligdagen:
a. Varedeklaration.
b. Vejrudsigt.
© Nucleus Forlag ApS • Illustrator: Elin Steffensen, Griffle
Figur 4
Kvalitative og kvantitative størrelser på dele af dagligdagen:
c. Lyspære.
© Nucleus Forlag ApS • Illustrator: Elin Steffensen, Griffle
Figur 5
Skitse af et eksempel på opbygning af en journal.
© Nucleus Forlag ApS • Illustrator: Elin Steffensen, Griffle
Figur 9
Eksempler på H-, EUH- og P-sætninger.
© Nucleus Forlag ApS • Illustrator: Elin Steffensen, Griffle
Figur 11
De naturvidenskabelige fags fokus og overlap.
© Nucleus Forlag ApS • Illustrator: Elin Steffensen, Griffle
Figur 12 a
De videnskabelige hovedområder.
© Nucleus Forlag ApS • Illustrator: Elin Steffensen, Griffle
Figur 12 b
Eksempler på hvordan det samme emne behandles forskelligt i hver af de videnskabeligeteorier.
© Nucleus Forlag ApS • Illustrator: Elin Steffensen, Griffle
Figur 14
Metodestier for naturvidenskabelige undersøgelser med observationer.
© Nucleus Forlag ApS • Illustrator: Elin Steffensen, Griffle
Figur 17
Metodestier i den naturvidenskabelige metode: Induktiv, formel, hypotetisk-deduktiv og enkeltstående.
© Nucleus Forlag ApS • Illustrator: Elin Steffensen, Griffle
Figur 18
Afsnit i en naturvidenskabelig artikel.
© Nucleus Forlag ApS • Illustrator: Elin Steffensen, Griffle
Figur 19
Konkrete størrelser vist forskelligt.
© Nucleus Forlag ApS • Illustrator: Elin Steffensen, Griffle
Figur 20
Eksempler på formler med variable og konstanter og konstanter med dannelsen af konstruerede konstanter.
© Nucleus Forlag ApS • Illustrator: Elin Steffensen, Griffle
Figur 21
Præsentationsformer:
a. Tabel.
b. Søjlediagram.
c. Graf.
d. Cirkeldiagram.
© Nucleus Forlag ApS • Illustrator: Elin Steffensen, Griffle
Figur 22
Modeller af ansigter med variable og konstante størrelser.
© Nucleus Forlag ApS • Illustrator: Elin Steffensen, Griffle
Figur 23
Fremgangsmåde for at designe en undersøgelse.
© Nucleus Forlag ApS • Illustrator: Elin Steffensen, Griffle
Figur 25
Oversigt over nogle naturvidenskabelige metodeveje: Kontrollerede undersøgelser og feltundersøgelser.
© Nucleus Forlag ApS • Illustrator: Elin Steffensen, Griffle
Figur 26
Variabelkontrol:
a. En sammenhæng kan undersøges ved at værdien for den samme uafhængige variabel ændres for hver underdel.
b. Forskellige uafhængige variables betydning kan påvises ved i hver underdel skiftevis at fjerne én af dem.
© Nucleus Forlag ApS • Illustrator: Elin Steffensen, Griffle
Figur 27
Eksempler på formulering af fejlkilder.
© Nucleus Forlag ApS • Illustrator: Elin Steffensen, Griffle
Figur 28
Eksempler på forskellige funktioner en figur kan have i en naturvidenskabelig tekst:
a. Overblik over teori.
b. Overblik over en fremgangsmåde.
c. Skitse af en opstilling.
d. Præsentation af data og resultater.
© Nucleus Forlag ApS • Illustrator: Elin Steffensen, Griffle
Figur 29
Figurer med fejl. Flere på hver.
© Nucleus Forlag ApS • Illustrator: Elin Steffensen, Griffle
Figur 31
Eksempler på mønstermodeller:
a. Diagram for et elektrisk kredsløb.
b. Strukturformel for glukose.
c. Mindmap over drivhuseffekt.
d. Model af en simpel fødekæde.
© Nucleus Forlag ApS • Illustrator: Elin Steffensen, Griffle
Figur 35
Matematiske grundmodeller:
a. Lineær.
b. Eksponentiel.
c. Potensiel.
d. Logistisk.
© Nucleus Forlag ApS • Illustrator: Elin Steffensen, Griffle
Figur 36 a
Komplementaritet: Niels Bohrs model om to-spalteeksperiment.
© Nucleus Forlag ApS • Illustrator: Elin Steffensen, Griffle
Figur 38
Argumentationsveje i naturvidenskabelig disskusion.
© Nucleus Forlag ApS • Illustrator: Elin Steffensen, Griffle
Figur 39
Eksempler på naturvidenskabelige job og uddannelser.
© Nucleus Forlag ApS • Illustrator: Elin Steffensen, Griffle
Figur 1
En bæredygtig produktionsform kræver samspil mellem miljø, økonomi og det sociale.
© Nucleus Forlag ApS • Illustrator: Elin Steffensen, Griffle
Figur 4
Strukturformler for hhv. dimenthylether og ethanol.
© Nucleus Forlag ApS • Illustrator: Hanne Wolff
Figur 5
Ethanol med farve der hjælper med at gennemskue den kompakte strukturformel.
© Nucleus Forlag ApS • Illustrator: Hanne Wolff og Elin Steffensen, Griffle
Figur 6
a. Zig-zag formel for ethanol.
b. Zig-zag formel for stearinsyre.
© Nucleus Forlag ApS • Illustrator: Hanne Wolff
Figur 7
Strukturformler for:
a. Butanon.
b. Propan-1-ol.
c. Ethanal.
d. Hexan.
© Nucleus Forlag ApS • Illustrator: Hanne Wolff
Figur 8
Kuglemodeller af tre simple organiske molekyler:
a. Methan.
b. Ethen.
c. Ethyn.
© Nucleus Forlag ApS • Illustrator: Elin Steffensen, Griffle
Figur 10
Glucose fra fotosyntese danner grundlag for oplagsnæring, væst og respiration.
© Nucleus Forlag ApS • Illustrator: Elin Steffensen, Griffle
Figur 11
Sammenhæng mellem solens lysenergi, planternes fotosyntese og planter og dyrs respiration.
© Nucleus Forlag ApS • Illustrator: Elin Steffensen, Griffle
Figur 14
Strukturformel for glucose.
© Nucleus Forlag ApS • Illustrator: Hanne Wolff og Elin Steffensen, Griffle
Figur 15
Oversigt over typer af saccharider.
© Nucleus Forlag ApS • Illustrator: Hanne Wolff og Elin Steffensen, Griffle
Figur 16
a. Den særlige spiralstruktur i amylose.
b. Amylopectin som også har sidekæder af spiraler.
c. Triiodid(I-) kan binde sig til spiralen og danne et blåsort farvekompleks.
© Nucleus Forlag ApS • Illustrator: Henning Dalhoff
Figur 17 a
Stivelseskorn fra kartoffel omkranset af en dråbekant. Set i mikroskop.
© Nucleus Forlag ApS • Foto: Henrik Ronge Baktoft
Figur 17 b
Gennemskåret kartoffel med og uden triiodidfarvning.
© Nucleus Forlag ApS • Foto: Karen Ronge Baktoft
Figur 18
Hvordan polymeren PVC dannes ud fra monomeren chlorethen.
© Nucleus Forlag ApS • Illustrator: Hanne Wolff
Figur 19 a
Havstrømmene i Stillehavet samler affald i to store plastikøer.
© Nucleus Forlag ApS • Illustrator: Elin Steffensen, Griffle
Figur 21
Eksempler på vigtige polymerer.
© Nucleus Forlag ApS • Illustrator: Hanne Wolff og Elin Steffensen, Griffle
Figur 22 a
Kartofler med forskellig længde og rumfang.
© Nucleus Forlag ApS • Foto: Henrik Ronge Baktoft
Figur 22 b
Tre forslag til hvordan en kartoffel kan efterlignes af en matematisk model.
b. Matematisk formel for en kugle (I), en cylinder (II) og en ellipsoide (III).
© Nucleus Forlag ApS • Illustrator: Elin Steffensen, Griffle
Figur 23
Udledning af konstant k4 for kartoffelmodel.
© Nucleus Forlag ApS • Illustrator: Elin Steffensen, Griffle
Figur 24
Tabel til opsamling af data for kartofler.
© Nucleus Forlag ApS • Illustrator: Elin Steffensen, Griffle
Figur 25
Tabel til databehandling for måling af kartofler.
© Nucleus Forlag ApS • Illustrator: Elin Steffensen, Griffle
Figur 27
Enzymet amylase nedbryder (hydrolyserer) amylose til maltose.
© Nucleus Forlag ApS • Illustrator: Elin Steffensen, Griffle
Figur 29
Hvordan de fire elementer nytænkning, aftagere, produkt og handling tilsammen kan bidrage til innovation.
© Nucleus Forlag ApS • Illustrator: Elin Steffensen, Griffle
Figur 1
Verdens estimerede befolkningstal fra år 1750 til 2100 i millioner indvider.
© Nucleus Forlag ApS • Illustrator: Elin Steffensen, Griffle
Figur 2
Mathus´ model for befolkningstilvækst og vækst i fødevareproduktionen.
© Nucleus Forlag ApS • Illustrator: Elin Steffensen, Griffle
Figur 5
Energikæde som viser energiomdannelserne fra kerneprocesserne i Solen til bevægelse af en elektrisk bil.
© Nucleus Forlag ApS • Illustrator: Elin Steffensen, Griffle
Figur 6
Overfladearealet vokser med kvadratet på afstanden hvilket er illustreret med de kvadriske arealer.
© Nucleus Forlag ApS • Illustrator: Elin Steffensen, Griffle
Figur 7
Opstilling til undersøgelse af afstanden betydning for lysintensiteten.
© Nucleus Forlag ApS • Foto: Thomas Brun Kristensen
Figur 8
Skema til data og resultater for undersøgelse af afstandens betydning for lysintensiteten.
© Nucleus Forlag ApS • Illustrator: Elin Steffensen, Griffle
Figur 10
Planck-kurver for legemer med forskellige temperaturer.
© Nucleus Forlag ApS • Illustrator: Elin Steffensen, Griffle
Figur 11
Det elektromagnetiske spektrum opdelt i områder ud fra både bølgelængder og tilhørende frekvenser.
© Nucleus Forlag ApS • Illustrator: Elin Steffensen, Griffle
Figur 12
Data i tabel til bestemmelse af sammenhæng mellem bølgelængde for strålingsmaksimummet
og den reciprokker temeratur af et legeme.
© Nucleus Forlag ApS • Illustrator: Elin Steffensen, Griffle
Figur 13
Wiens forskydningslov.
a. Proportionalitet.
b. Residualplot.
© Nucleus Forlag ApS • Illustrator: Elin Steffensen, Griffle
Figur 14
Spektrallinjer for hydrogen i det synlige område.
© Nucleus Forlag ApS • Illustrator: Thomas Brun Kristensen og Elin Steffensen, Griffle
Figur 15
Tabel til egne observationer af linjerne i Balmer-serien.
© Nucleus Forlag ApS • Illustrator: Elin Steffensen, Griffle
Figur 17
a. Bohrs atommodel for et hydrogenatom: Todimentional model.
b. Bohrs atommodel for et hydrogenatom: Energiniveaudiagram.
© Nucleus Forlag ApS • Illustrator: Elin Steffensen, Griffle
Figur 18
Absorptionsspektrum for Solens lys.
© Nucleus Forlag ApS • Illustrator: Elin Steffensen, Griffle
Figur 19
a. Princippet ved absorptionsspektroskopi: Det hvide lys fra LED-pæren karakteriseret vha. et spektrometer.
b. Princippet ved absorptionsspektroskopi: Det transmitterede lys sendes ind i et spektrometer.
© Nucleus Forlag ApS • Illustrator: Elin Steffensen, Griffle
Figur 21
a. RGB-farvemodellen.
b. CMYK-farvemodellen.
© Nucleus Forlag ApS • Illustrator: Elin Steffensen, Griffle
Figur 22
24-delt farvecirkel hvor en farves komplementære farve kan findes diamentralt modsat i cirklen.
© Nucleus Forlag ApS • Illustrator: Elin Steffensen, Griffle
Figur 23 a
Belyste farvefiltre.
© Nucleus Forlag ApS • Illustrator: Thomas Brun Kristensen og Elin Steffensen, Griffle
Figur 23 b
Tilhørende emissionsspektre.
© Nucleus Forlag ApS • Illustrator: Elin Steffensen, Griffle
Figur 24
Når farven af et blad er grønt, tilbagekastes hovedsagtlig de grønne farver. De andre farver absorberes af bladet
a. Med hvidlig farve vises spektret af den hvide lampe som belyser bladet.
b. Beregnet kurve af forskellen med det hvide lys og det reflekterede.
© Nucleus Forlag ApS • Illustrator: Elin Steffensen, Griffle
Figur 26
Flowmodel for sammenhængen med BPP, NPP og R i en plante.
© Nucleus Forlag ApS • Illustrator: Elin Steffensen, Griffle
Figur 27
a. Reaktionsskema for fotosynteseprocessen.
b. Reaktionsskema for respirationsprocessen.
© Nucleus Forlag ApS • Illustrator: Elin Steffensen, Griffle
Figur 29
Abiotiske og biotiske vækstfaktorer for en plante.
© Nucleus Forlag ApS • Illustrator: Elin Steffensen, Griffle
Figur 30
Analogimodel for Liebigs minimumslov.
© Nucleus Forlag ApS • Illustrator: Elin Steffensen, Griffle
Figur 31
Resultat fra måling af nettofotosynteseraten ved forskellige lynsintensiteter.
© Nucleus Forlag ApS • Illustrator: Elin Steffensen, Griffle
Figur 32
Opstilling til at undersøge lysintensitetens betydning for primærproduktionen.
© Nucleus Forlag ApS • Foto: Kresten Cæsar Torp.
Figur 33
Måling med millimeterpapir af længden af karsespirer.
© Nucleus Forlag ApS • Illustrator: Kresten Cæsar Torp og Elin Steffensen, Griffle
Figur 35
Fotosyntesens lys- og mørkeprocesser.
© Nucleus Forlag ApS • Illustrator: Elin Steffensen, Griffle
Figur 36
Absorptionsspektrum for forskellige plantepigmenter.
© Nucleus Forlag ApS • Illustrator: Elin Steffensen, Griffle
Figur 37
Resultatskema til behandling af data for undersøgelse af absorptionsspektrum.
© Nucleus Forlag ApS • Illustrator: Elin Steffensen, Griffle
Figur 38
Når en elektron energiberiges kan den enten afgives til et andet molekyle i fotosynteseapparatet
og erstattes af en elektron fra vand eller henfalde og udsende synligt lyse ved fluorescens.
© Nucleus Forlag ApS • Illustrator: Elin Steffensen, Griffle
Figur 39
Helt spinatblad og klorofylekstrakt som begge bestråles med UV-lys.
© Nucleus Forlag ApS • Foto: Kresten Cæsar Torp
Figur 41 a
Måling af fotosyntese ved hjælp af bladskivers flydeevne.
Bladskiver kan udstanses med et sugerør.
© Nucleus Forlag ApS • Foto: Kresten Cæsar Torp
Figur 41 b
Måling af fotosyntese ved hjælp af bladskivers flydeevne.
Man kan tømme bladskiver for luft med vacuum.
© Nucleus Forlag ApS • Foto: Kresten Cæsar Torp
Figur 41 c
Måling af fotosyntese ved hjælp af bladskivers flydeevne.
Bladskiverne anbringes i en 2 % opløsning af natron.
© Nucleus Forlag ApS • Foto: Kresten Cæsar Torp
Figur 41 d
Måling af fotosyntese ved hjælp af bladskivers flydeevne.
Teknikken kan anvendes til en række forskellige undersøgelser.
© Nucleus Forlag ApS • Foto: Kresten Cæsar Torp
Figur 5
Opstilling til undersøgelse af solens indstråling.
© Nucleus Forlag ApS • Illustrator: Lone Brun Jakobsen og Elin Steffensen, Griffle
Figur 6
Solstrålingens vinkel med jorden.
a. Ved jævndøgn.
b. Ved vintersolhverv.
c. Ved sommersolhverv.
d. Når solstrålingens vinkel ændres.
© Nucleus Forlag ApS • Illustrator: Elin Steffensen, Griffle
Figur 7
Udstyr til undersøgelse af effekten af solens stråler.
© Nucleus Forlag ApS • Illustrator: Lone Brun Jakobsen og Elin Steffensen, Griffle
Figur 8
Fire forslag til afbildning af sammenhængen mellem indstrålingsvinkel og effekt.
Kun den ene er korrekt.
© Nucleus Forlag ApS • Illustrator: Elin Steffensen, Griffle
Figur 9
Den termohaline cirkulation.
a. Udsnit for Atlanterhavet og den Mexicanske Golf.
b. Overordnede strømme.
© Nucleus Forlag ApS • Illustrator: Elin Steffensen, Griffle
Figur 10
Opstilling til undersøgelse af opvarmning af sand og vand.
© Nucleus Forlag ApS • Illustrator: Elin Steffensen, Griffle
Figur 11
Luften over havet har højt vandindhold, og vestenvinden fører den fugtige luften ind over land.
© Nucleus Forlag ApS • Illustrator: Elin Steffensen, Griffle
Figur 12
Hydrotermfigurer for Aarhus og Moskva.
© Nucleus Forlag ApS • Illustrator: Elin Steffensen, Griffle
Figur 14
Absorption af hvidt lys på forskellige overflader.
© Nucleus Forlag ApS • Illustrator: Elin Steffensen, Griffle
Figur 15
Opstilling til måling af albedo.
© Nucleus Forlag ApS • Illustrator: Elin Steffensen, Griffle
Figur 16
Varmt overfladevand afkøles og bliver mere saltholdig når der dannes is.
© Nucleus Forlag ApS • Illustrator: Elin Steffensen, Griffle
Figur 17
Typiske albedoværdier for forskellige typer af overflade.
© Nucleus Forlag ApS • Illustrator: Elin Steffensen, Griffle
Figur 19
Energikæder.
a. Elektrisk energi.
b. Strålingsenergi.
© Nucleus Forlag ApS • Illustrator: Elin Steffensen, Griffle
Figur 24
Opstilling til undersøgelse af trykket fra en væskesøjle.
© Nucleus Forlag ApS • Illustrator: Elin Steffensen, Griffle
Figur 25
Temperaturændring ved varmeledning.
© Nucleus Forlag ApS • Illustrator: Elin Steffensen, Griffle
Figur 27
Varmestrøm igennem et materiale.
© Nucleus Forlag ApS • Illustrator: Elin Steffensen, Griffle
Figur 28
Specifik varmeledningsevne og densitet for en række materialer.
© Nucleus Forlag ApS • Illustrator: Lone Brun Jakobsen og Elin Steffensen, Griffle
Figur 35
Indstråling fra Solen og tilbagestråling fra Jorden.
© Nucleus Forlag ApS • Illustrator: Elin Steffensen, Griffle
Figur 1
Dataskema for hvordan smagsoplevelsen påvirkes af forskellige fødevarer.
© Nucleus Forlag ApS • Illustrator: Elin Steffensen, Griffle
Figur 2
Dyreceller med nogle af de vigtigste organeller.
© Nucleus Forlag ApS • Illustrator: Elin Steffensen, Griffle
Figur 3
Opbygning og placering af smagsløg på tungen.
© Nucleus Forlag ApS • Illustrator: Elin Steffensen, Griffle
Figur 4
Forskellige smage og stoffer der forårsager dem.
© Nucleus Forlag ApS • Illustrator: Elin Steffensen, Griffle
Figur 5
Opbygning af mund- og næsehule.
© Nucleus Forlag ApS • Illustrator: Elin Steffensen, Griffle
Figur 6
Dataskema for undersøgelse af smagertyper.
© Nucleus Forlag ApS • Illustrator: Elin Steffensen, Griffle
Figur 10
Elektronprikformel for:
a. hydrogen.
b. elektronparbinding mellem to chloratomer så der dannes dichlor.
c. dannelse af dihydrogen.
© Nucleus Forlag ApS • Illustrator: Elin Steffensen, Griffle
Figur 11
Elektronprikformel for:
a. carbon.
b. nitrogen.
c. oxygen.
d. dioxygen.
e. dinitrogen.
f. nitrogentrifluorid.
g. methan.
© Nucleus Forlag ApS • Illustrator: Elin Steffensen, Griffle
Figur 12
Modeller af methan, ammoniak og vand.
a. Stregformler.
b. Kugle-stavmodeller.
c. Tetraedermodeller.
© Nucleus Forlag ApS • Illustrator: Hanne Wolff og Elin Steffensen, Griffle
Figur 13
Stregformel af methanal (formaldehyd).
© Nucleus Forlag ApS • Illustrator: Hanne Wolff og Elin Steffensen, Griffle
Figur 14
Molekyler hvor atomerne ligger på linje, så bindingsvinklen er 180°.
a. Carbondioxid.
b. Hydrogencyanid (blåsyre).
© Nucleus Forlag ApS • Illustrator: Hanne Wolff og Elin Steffensen, Griffle
Figur 16
Bindingstypers sammenhæng med elektronegativitetsforskel.
© Nucleus Forlag ApS • Illustrator: Hanne Wolff og Elin Steffensen, Griffle
Figur 17
Vandmolekylet er stærkt polært.
© Nucleus Forlag ApS • Illustrator: Hanne Wolff og Elin Steffensen, Griffle
Figur 18
Polaritet.
a. Carbondioxid er et upolært molekyle der indeholder polære bindinger.
b. Trichlormethan er svagt polært og en dipol.
© Nucleus Forlag ApS • Illustrator: Elin Steffensen, Griffle
Figur 19
Modeller af:
a. heptan der er et upolært molekyle.
b. ethanol der er polært og en dipol.
© Nucleus Forlag ApS • Illustrator: Hanne Wolff og Elin Steffensen, Griffle
Figur 20
Eksempler på organiske forbindelser:
a. octadecansyre.
b. dodecansyre.
c. propanon.
d. butan.
e. dichlorflourmethan.
f. tetrachlormethan.
g. methanol.
h. hexan-1-ol.
© Nucleus Forlag ApS • Illustrator: Hanne Wolff og Elin Steffensen, Griffle
Figur 21
Vandmolekyler i væskefase.
a. De stiplede linjer viser tiltrækning mellem positive og negative poler.
b. Vandmolekyler omkring et hydrofobt molekyle, som forstyrrer netværket.
c. Vandmolekyler og hydrofobt molekyle danner to faser.
© Nucleus Forlag ApS • Illustrator: Elin Steffensen, Griffle
Figur 22
Typiske hydrofile og hydrofobe grupper.
© Nucleus Forlag ApS • Illustrator: Hanne Wolff og Elin Steffensen, Griffle
Figur 23
Heptan og vand er ikke blandbare og danner to faser.
© Nucleus Forlag ApS • Illustrator: Elin Steffensen, Griffle
Figur 24
Stregformel for beta-caroten.
© Nucleus Forlag ApS • Illustrator: Hanne Wolff og Elin Steffensen, Griffle
Figur 28
Den hierarkiske inddeling af organismers slægtskab.
© Nucleus Forlag ApS • Illustrator: Elin Steffensen, Griffle
Figur 33
Cellemembran med den receptorstyrede ionkanal TRPV1.
a. Ionkalan i lukket tilstand.
b. Capsaicin kan binde til TRPV1.
c. Åben tilstand med receptorbundet capsaicin.
© Nucleus Forlag ApS • Illustrator: Elin Steffensen, Griffle
Figur 34a
Stregformel for gingerol.
© Nucleus Forlag ApS • Illustrator: Hanne Wolff og Elin Steffensen, Griffle
Figur 34b
Stregformel for capsaicin.
© Nucleus Forlag ApS • Illustrator: Hanne Wolff og Elin Steffensen, Griffle
Figur 37
Cellekernen indeholder kromosomer - som består af stoffet DNA.
© Nucleus Forlag ApS • Illustrator: Elin Steffensen, Griffle
Figur 38
Strukturformel for phenylthiocarbamid.
© Nucleus Forlag ApS • Illustrator: Hanne Wolff og Elin Steffensen, Griffle
Figur 40
Eksempler på hvordan data kan præsenteres ved sammenligning af to chilier.
© Nucleus Forlag ApS • Illustrator: Elin Steffensen, Griffle
Figur 41
Princippet i afskillelse af molekyler vha. søjlechromografi som fx HPLC.
a. Prøve påsættes i toppen af en søjle der er lukket forneden.
b. Der tilsættes løbevæske til toppen af søjlen.
c-d. Molekylerne i prøven adskilles og kan opsamles hver for sig fra søjlen.
© Nucleus Forlag ApS • Illustrator: Elin Steffensen, Griffle
Figur 1
Oversigt over hvilke ordner spiselige insekter kommer fra.
© Nucleus Forlag ApS • Illustrator: Elin Steffensen, Griffle
Figur 2
Danmarks befolkningstal 2010-2019.
© Nucleus Forlag ApS • Illustrator: Elin Steffensen, Griffle
Figur 3
Melbillers livscyklus og ydre opbygning.
© Nucleus Forlag ApS • Illustrator: Elin Steffensen, Griffle
Figur 4
Abiotiske og biotiske faktorer.
© Nucleus Forlag ApS • Illustrator: Elin Steffensen, Griffle
Figur 6
Gennemsnitlig vægt af melbille i forskellige stadier af livscyklus.
© Nucleus Forlag ApS • Illustrator: Elin Steffensen, Griffle
Figur 9
Vækstratens afhængighed af temperatur hos melbillelarver.
© Nucleus Forlag ApS • Illustrator: Elin Steffensen, Griffle
Figur 11
Temperaturens indflydelse på enzymaktiviteten.
© Nucleus Forlag ApS • Illustrator: Elin Steffensen, Griffle
Figur 12
Temperaturens indflydelse på overlevelse af voksne, pupper og larver.
© Nucleus Forlag ApS • Illustrator: Elin Steffensen, Griffle
Figur 13
Undersøgelser af melbillelarver.
a. Tæthedens indflydelse på vægtforøgelse.
b. Temperaturens indflydelse på vækstrate.
© Nucleus Forlag ApS • Illustrator: Elin Steffensen, Griffle
Figur 14
Grundstoffernes periodesystem.
© Nucleus Forlag ApS • Illustrator: Elin Steffensen, Griffle
Figur 15
Stofmodeller.
a. Prikformel for vand.
b. Stregformel for vand.
c. Stregformel for dioxygen.
d. Stregformel for dinitrogen.
© Nucleus Forlag ApS • Illustrator: Hanne Wolff og Elin Steffensen, Griffle
Figur 16
Elektronegativitet for udvalgte grundstoffer.
© Nucleus Forlag ApS • Illustrator: Elin Steffensen, Griffle
Figur 17
Carbonhydrider.
a. Navn og molekylformel for udvalgte carbonhydrider.
b. To mulige grupperede stregformler og zigzagformel for butan.
© Nucleus Forlag ApS • Illustrator: Hanne Wolff (b) og Elin Steffensen, Griffle
Figur 18
Almindelige ioner i nogle af kroppens organsystemer.
© Nucleus Forlag ApS • Illustrator: Elin Steffensen, Griffle
Figur 19
Varedeklaration for havregryn.
© Nucleus Forlag ApS • Illustrator: Elin Steffensen, Griffle
Figur 20a
Stregformel for glucose.
© Nucleus Forlag ApS • Illustrator: Hanne Wolff og Elin Steffensen, Griffle
Figur 20b
Stregformel for fructose.
© Nucleus Forlag ApS • Illustrator: Hanne Wolff og Elin Steffensen, Griffle
Figur 21
a. Stregformel for saccharose.
b. Stregformel for lactose.
c. Stregformel for polysaccharidet stivelse.
© Nucleus Forlag ApS • Illustrator: Hanne Wolff og Elin Steffensen, Griffle
Figur 22
Proteinopbygning.
a. Stregformel for forskellige aminosyrer.
b. Model af en kort aminosyrekæde.
c. Mælk indeholder proteinet kasein.
d. Hår er bl.a. opbygget af proteinet keratin.
© Nucleus Forlag ApS • Illustrator: Hanne Wolff (a og b), Jørgen Baungaard Hansen (c og d) og Elin Steffensen, Griffle
Figur 23
Opbygning af chitin vist med stregformler.
a. N-acetylglycosamin.
b. I chitin forbindes flere dimérer af N-acetylglycosamin i kæde.
© Nucleus Forlag ApS • Illustrator: Hanne Wolff og Elin Steffensen, Griffle
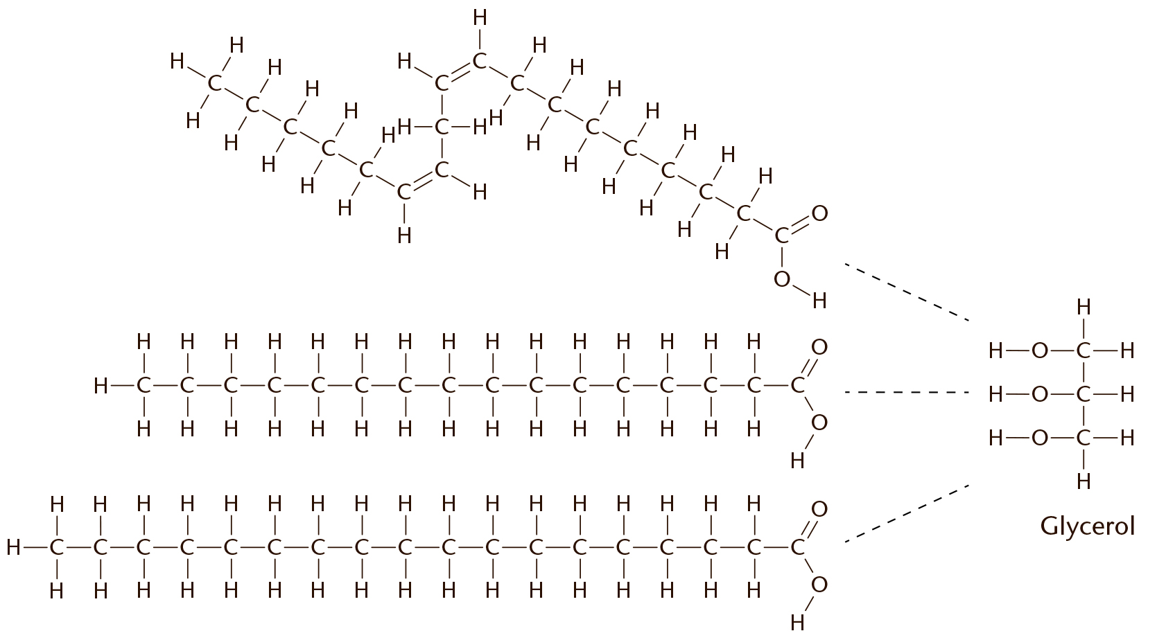
Figur 24
Ét glycerolmolekyle og tre fedtsyrer kan samles til et triglycerid.
© Nucleus Forlag ApS • Illustrator: Hanne Wolff og Elin Steffensen, Griffle
Figur 25
Typer af fedtsyrer.
© Nucleus Forlag ApS • Illustrator: Hanne Wolff og Elin Steffensen, Griffle
Figur 26
Data for temperaturens indflydelse på fedtindhold.
© Nucleus Forlag ApS • Illustrator: Elin Steffensen, Griffle
Figur 27
Data fra undersøgelse af fedtindhold i melbillelarver.
© Nucleus Forlag ApS • Illustrator: Elin Steffensen, Griffle
Figur 28
Udvikling i menneskers knoglemasse i løbet af livet.
© Nucleus Forlag ApS • Illustrator: Elin Steffensen, Griffle
Figur 29
Næringsstofindhold i forskellige typer kød.
© Nucleus Forlag ApS • Illustrator: Elin Steffensen, Griffle
Figur 30
Fordøjelse af hhv. protein, fedt og carbohydrat.
© Nucleus Forlag ApS • Illustrator: Elin Steffensen, Griffle
Figur 31
Næringsstoffernes optagelse i kroppen hos melbillelarver.
© Nucleus Forlag ApS • Illustrator: Elin Steffensen, Griffle
Figur 32
Energifrigørelse fra ATP.
© Nucleus Forlag ApS • Illustrator: Hanne Wolff og Elin Steffensen, Griffle
Figur 33
Fødens skæbne hos melbillelarver.
© Nucleus Forlag ApS • Illustrator: Elin Steffensen, Griffle
Figur 34
Varedeklaration for et fødevareprodukt med melorme.
© Nucleus Forlag ApS • Illustrator: Elin Steffensen, Griffle
Figur 35
Fedtindhold i melbillelarver ved forskellige slags foder (data stammer fra Teknologisk Institut).
a. I tørstof og i vådvægt.
b. Procentvis indhold af bestemte fedtsyrer.
© Nucleus Forlag ApS • Illustrator: Elin Steffensen, Griffle
Figur 36
Tabel til undersøgelse af energifordeling.
© Nucleus Forlag ApS • Illustrator: Elin Steffensen, Griffle
Figur 37
Gennemsnitligt, dagligt energiforbrug til kroppens vedligeholdelse.
© Nucleus Forlag ApS • Illustrator: Elin Steffensen, Griffle
Figur 38
Isotopfordeling for carbon (a) og oxygen (b).
© Nucleus Forlag ApS • Illustrator: Elin Steffensen, Griffle
Figur 39
Tabel til undersøgelse af grundstoffer og deres masse.
© Nucleus Forlag ApS • Illustrator: Elin Steffensen, Griffle
Figur 40
Optagelse af O2 og afgivelse af CO2 hos melbillelarve.
© Nucleus Forlag ApS • Illustrator: Elin Steffensen, Griffle
Figur 42
Undersøgelse af CO2-udskillelseshastighed og temperaturændring hos melbillelarver.
© Nucleus Forlag ApS • Illustrator: Elin Steffensen, Griffle
Figur 43
Undersøgelse af melbillelarvers funktion.
a. Testkammer med CO2-sensor.
b. CO2-koncentrationen gennem 45 min.
© Nucleus Forlag ApS • Illustrator: Jørgen Baungaard Hansen (a) og Elin Steffensen, Griffle



































































































































































































